会員登録 / ログイン
新着
地域検索
エンタメ
スポーツ
アニメ・ゲーム
BtoB・ビジネス
旅行・お出かけ
グルメ
ネット・IT
ファッション
コスメ
ライフスタイル
金融・経済
調査
Copyright 2006- SOCIALWIRE CO.,LTD. All rights reserved.
株式会社ドクターズチョイスの最新ニュース・プレスリリース | NEWSCAST
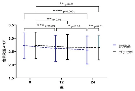
新規アスコルビン酸誘導体配合化粧品の 老人性色素斑(シミ)に対する抗色素沈着効果が スイスMDPI社の学術雑誌 「International Journal of Molecular Sciences」に掲載
2024-12-24 10:15
アスコルビン酸誘導体(MIRAVC(R))配合化粧品の 老人性色素斑(シミ)に対する抗色素沈着効果を 第88回日本皮膚科学会東京支部学術大会で発表
2024-11-19 10:30
<新開発>新規アスコルビン酸誘導体含有化粧品の ニキビ患者での効果に期待 日本皮膚科学会総会で臨床試験結果を発表
2022-06-28 09:30
ASIA GOLDEN STAR AWARDを受賞 中性の美容液「Dr's Choice VC25」
2021-07-20 10:30
株式会社ドクターズチョイス
業界初 日本皮膚科学会総会にて傷口に入っても痛くない、 低刺激の『安定型中性ビタミンC誘導体』配合美容液を発表
2021-06-21 09:30
株式会社ドクターズチョイス
日本美容外科学会で注目の安定型中性ビタミンC誘導体を 配合した美容液を発表
2021-06-01 09:45
株式会社ドクターズチョイス
世界初の安定型中性ビタミンC誘導体を開発 ~日本臨床皮膚科医会総会で発表。医療、美容に期待~
2021-05-10 08:00
株式会社ドクターズチョイス
株式会社ドクターズチョイス
トップページ
/
株式会社ドクターズチョイス