アスコルビン酸誘導体(MIRAVC(R))配合化粧品の 老人性色素斑(シミ)に対する抗色素沈着効果を 第88回日本皮膚科学会東京支部学術大会で発表
株式会社ドクターズチョイス(所在地:東京都千代田区、代表取締役:山本 明男)は、2024年11月16日、17日に京王プラザホテル(東京都新宿区)で開催された第88回日本皮膚科学会東京支部学術大会で、安定型中性ビタミンC誘導体(MIRAVC(R))を配合した美容液の老人性色素斑(シミ)に対する抗色素沈着効果について、宇都宮大学バイオサイエンス教育研究センターと共同で学会発表を行いました。
老人性色素斑とは、紫外線によってできるシミで、加齢とともにできやすくなります。ハイドロキノンがよく使われますが、皮膚刺激性が問題になり、長期の使用はできません。美白成分は安全性が高いものの、老人性色素斑に対する抗色素沈着効果については、ほとんど知られていません。美白成分の中でも、アスコルビン酸誘導体は特に皮膚安全性の観点から非常に有用であると考えられています。
当社は、アスコルビン酸に糖とアミノ酸を結合させた、中性で安定性に優れたビタミンC誘導体(MIRAVC(R))を開発しました。
そこで今回、宇都宮大学バイオサイエンス教育研究センター特任教授で、医学博士の芋川 玄爾先生、高田 真理子先生との共同研究として、両顔面に老人性色素斑を一つ以上有する27名の女性被験者を使って臨床試験を実施しました。
その結果、MIRAVC(R)は、白斑や皮膚刺激を引き起こすリスクなしに、老人性色素斑(シミ)に対して有意な抗色素沈着効果があることが確認されました。
試験内容
MIRAVC(R)を28%配合した試験用ローションとプラセボローション(偽薬)を用いて、老人性色素斑がある日本人女性27名を対象に、二重盲検法により、1日2回、24週間、顔半分に試験用ローション、反対の顔半分にプラセボローションを塗布する試験を実施しました。当試験は、株式会社インフォワード 恵比寿スキンリサーチセンター(東京都)で2023年9月から2024年3月にかけて行われました。
主な試験結果
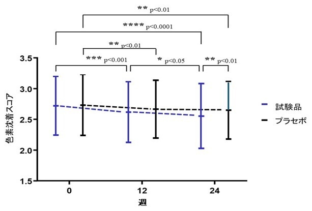
- シミ評価
試験機関作成の写真スケール(「シミレベルは1、2、3、4、5の5段階」)を用い、12週後、24週後の色素沈着スコアーを0.25単位で皮膚科専門医が評価しました。この結果、試験品での左右顔面のそれぞれ一つの老人性色素斑での色素沈着スコアー変化量は24週後に、0週及びプラセボと比べて有意に低値となりました。これより、試験品によりシミレベルが低減されたことがわかります。有意差検定は左右顔面のそれぞれ一つの老人性色素斑での対応のあるANOVAとTukey's comparison testにより行いました。

- 老人性色素斑(シミ部)の明度L*値の経時変化
分光測色計CM-700d(コニカミノルタ社製)を用いて、左右顔面のそれぞれ一つの老人性色素斑でのシミ部の明度L*値を測定しました。試験品(MIRAVC(R)配合ローション)では、プラセボに比べて有意に明度L*値が高値となり、明るい色合いになりました。

※明度L*値とは、色の明るさを示す数値で、0~100の範囲で表されます。数値が大きいほど明るい色を表し、0が黒、100が白です。
- 老人性色素斑(シミ部)のメラニンインデックス※の変化
メラニン測定機MexameterMX18(Courage+Khazak社製)を用いて左右顔面のそれぞれ一つの老人性色素斑でのメラニンインデックス※を測定しました。試験品(MIRAVC(R)配合ローション)では、プラセボに比べて有意にメラニンインデックスが減少しました。

※メラニンインデックスとは、メラニン色素の濃さを測定した数値です。数値が大きいほどメラニン色素が濃いことを示します。
会社概要
社名 : 株式会社ドクターズチョイス
代表 : 代表取締役 山本 明男
本社所在地: 東京都千代田区富士見2-7-2 ステージビルディング17F
URL : https://drs-choice.co.jp/
事業内容 : 化粧品事業、健康食品事業他
株式会社ドクターズチョイスについて
大学、医療機関との共同開発による化粧品、医薬部外品、サプリメント等の新規原料開発、有効性、安全性の評価及び、医療機関向けを中心にした販売を行っています。




